青海雜談

趨勢投資與價值投資的探索
個人資料
  • 博客訪問:
正文

收並購石油公司必須掌握的兩種價值評估方法

(2016-10-17 19:28:05) 下一個

2016-10-17 陸如泉

本來,低油價時期正是石油公司收並購的窗口期。可放眼當下的全球收並購市場,不要說大型的收並購,中小型的兼並收購也不多見。這一方麵源於作為收購方,低油價下“地主家的餘糧也不多”,現金流吃緊,拿不出大把的真金白銀去搞資本運作,而且高油價時代吃進去的那麽多油氣資產,現在依然處在“消化期”。另一方麵源於被收購一方,總覺得“奇貨可居”,油價雖然腰斬了,但資產還得捂在手裏,不想輕易“外嫁”。好吧,娶不娶不要緊,懂得如何娶、低價娶進來才最重要!嫁不嫁不要緊,懂得如何嫁、賣個好價錢才最重要!

 

偶然發現數年前寫的一篇關於石油公司價值評估方法的文章,今天再讀,居然一點也不過時。就是略微深奧一點點,適合各位感興趣的專業人士。絕不是想賣弄自己的學識,隻是為了紀念那一段為了弄清兼並收購估值的方法而熬夜鑽研的日子。

 

(以下為正文)

 

通過兼並與收購實現公司規模的快速擴張一直是跨國石油公司發展的重要途徑之一。20世紀90年代以來,在世界範圍內興起了又一輪石油公司並購的浪潮。為了謀求21世紀公司戰略利益的最大化,石油業內從老牌的埃克森、英國石油等石油巨頭,到一些大中型的一體化石油公司、獨立公司乃至石油技術服務公司,都紛紛通過並購手段來調整業務結構和組織結構,強化自身優勢,提高競爭實力。近年來,隨著“走出去”戰略的逐步深入,我國石油企業也已充分認識到通過並購來實施國際化經營和跨越式發展的重要性和必要性,並為之邁出了堅實的步伐。

 

那如何進行並購?其中關鍵一步在於如何準確估算目標公司的收購價值。目前采用的公司並購價值評估模型有:比較價值法(又稱基準法,Benchmark)、折現現金流法(DCF)、經濟增加值法(EVA)、調整現值法(APV)和實物期權法(Real Option)。本文重點介紹前兩種方法。

 

假設我們要收購一家名為ABC的石油公司,它具有以下特征:1)是一家美國公司;2)是一家從事上遊油氣業務的公司;3)目前還未上市;4)擁有一個中型區塊的開采權,合同期為25年(1996-2020);5)區塊已於2001年投產,目前已有穩定的現金流;6)有正常的資本結構(Capital Structure),即有權益/負債比例正常。現在來嚐試運用比較價值法和折現現金流法來估算該石油公司的收購價值。

 

   一、比較價值法

 

先來看一個生活中常見的例子:假設我們打算購買一所麵積為120平米的住宅,該住宅要價120萬人民幣,我們想知道該價格是否公平。有一個簡單的辦法可用來估算該住宅的價值。首先,我們可以調查出與該住宅類似的住宅的售價。如果一個房地產開發商告訴我們,在同一街區有一所100平米的住宅,它上周售價為90萬人民幣,而且這兩處住宅使用的建築材料基本相同,那我們會得出該住宅的售價為9,000人民幣/平米。按照這一比率,我們所希望購買住宅的售價應為108萬人民幣(120*9,000),該價格比120萬的要價低。我們使用的這種估價方法叫做比較價值法(valuation by comparables)。通過把一個企業與同它類似的企業進行比較,該方法也可以用來評估一個石油公司的價值。現在要收購ABC石油公司,就可以用與ABC相似的石油公司的股票市場數據來評估該ABC的價值。

 

ABC公司2004年的資產負債表表明在該年末權益的賬麵價值為8,700萬美元,記錄了從該公司建立起,股東投入的權益資本的淨累計值[1]。ABC的近期記錄表明公司的利潤穩定上升,並且這個趨勢隨著公司原油作業產量的上升而一直持續。因此ABC公司權益的市場價值,即它的售價應該高於賬麵價值8,700萬美元。

 

1.估算ABC石油公司的可比價值

 

首先必須識別出與ABC公司類似的上市公司。假設我們找到另一家名為XYZ的上市石油公司,它具有與ABC公司類似的石油業務,它的規模要比ABC公司大,但它們具有相似的資本結構和成本結構。

 

通過兩個公司的可比會計數據和XYZ公司的金融市場數據[2],我們可以得出XYZ公司在2005年1月初的三個主要比率,即:

 

 

這三個比率是XYZ公司的市場乘數[6](market multiples)。這些乘數也稱為曆史乘數(historical or trailing multiples),它們是根據XYZ的曆史收益、現金收益或賬麵價值計算出來的。

 

現在可以根據XYZ公司的市場乘數來估算ABC石油公司的價值。這個方法要求可比公司必須按照相同的市場乘數進行交易。換句話說,隻要XYZ公司的股票公開交易,就可以根據XYZ公司的市場乘數來估算ABC公司的權益價值[7]。這與在本節一開始根據可比住宅的單位價格來估算住宅價值的方法是一樣的。因此,我們可以得到:

 

ABC的估計價值 = [ABC的稅後收益]×XYZ公司的市盈率]=990萬美元×16.06=15,899萬美元

 

 

ABC的估計價值 = [ABC的現金收益]×[XYZ公司的每股現金收益比]=1,750萬美元×8.87=15,523萬美元

 

 

ABC的估計價值= [ABC的賬麵價值]×[XYZ公司股價與每股賬麵價值比]=8700萬美元×2.03=17,661萬美元

 

根據XYZ公司的市場乘數,求出ABC公司三個權益價值估計值,其中最高值為17,661萬美元,最低值為15,523萬美元。可以看出,不同的評估方法產生了不同的估計值,但因為估價本身就不是很精確,所以隻要估計值在一個合理的範圍內即可。ABC公司權益價值的最高值(17,661萬美元)比最低值(15,523萬美元)高13.7%,並沒有超出合理的範圍。

 

2.影響市場乘數的因素

 

石油公司的市盈率和股價與現金收益比既受總的市場環境的影響,如通行利率的高低、油價的高低,又受公司特定因素的影響,如公司預計發展狀況和預計風險的高低。高油價和低利率通常會增大市場乘數。另外,公司的預計增長速度越高,風險越低,則市場乘數也越高。

 

再者,會計準則和稅收製度也會影響市場乘數,其中會計製度對市盈率的影響尤為明顯。排除某些會計製度對市盈率影響的一條途徑是用股價現金收益比代替市盈率,因為現金收益受不同會計製度的影響沒有會計收益受的影響大。所以,當比較不同國家的石油企業價值時,一般使用股價現金收益比,而不用市盈率。

 

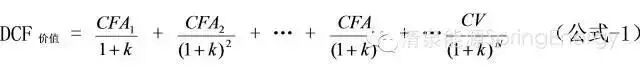
   二、折現現金流法

 

折現現金流法(Discounted Cash Flow, DCF)是目前石油企業並購最常用的價值評估方法。計算DCF價值的一般公式可表達為:

 

 

其中CFA1,CFA2,…CFAt,…是公司資產創造的預計現金流(cash flow from assets,CFA),k是投資者的要求回報率,CV是資產的殘餘價值,N是貼現年限。

 

現在用此法來估算ABC石油公司資產和權益的貼現價值。這裏要假設ABC石油公司未來的經營效率與可獲取到資料的2004年持平。估算過程共分四步:

 

步驟1:估算ABC公司資產未來可創造的預計現金流;

 

步驟2:估算現金流的折現率;這個折現率是公司的加權平均資本成本(Weighted Average Cost of Capital,WACC);

 

步驟3:以WACC為折現率計算企業資產現金流折現價值;

 

步驟4:為了估算ABC公司權益的DCF價值,必須從公司資產的DCF價值中扣除企業的任何未償還負債。

 

下麵分別論述上述四個步驟。

 

步驟一、估算ABC公司的現金流

 

1) 估算到2020年為止的現金流

 

計算CFA的公式為:

 

CFA=EBIT(1-Tc)+折舊-ΔWCR-淨資本支出(公式-2)

 

其中EBIT(earning before interest and tax)為公司息稅前利潤,Tc為稅率,ΔWCR是公司營運資本需求的變化量,淨資本支出是購置新資產花費的現金與出售舊資產獲得的現金之差額。

 

假設ABC石油公司的產量高峰出現在2006年,此前(2001至2006),產量和銷售收入均持續遞增(可以假設按照某一比率增加),此後(2007至2020),產量和銷售收入均逐漸遞減。同時假設公司未來的稅率等於曆史稅率。

 

以2005年為例,在估算該年的EBIT時,利用該年預計的銷售收入減作業成本,再減銷售費用、管理費用,減折舊和利息,從而得出EBIT。EBIT扣除稅金後,加回該年的折舊費,減去該年營運資本需求的變化量(ΔWCR),再減去該年的淨資本支出,就得到了2005年的資產現金流。按照同樣的方法,還可以估算出2005至2020年各年的資產現金流。

 

2) 估算2020年末的資產殘值

 

為了估算ABC公司在2020年末的殘餘價值,需要得到兩條信息。首先,要知道該公司資產現金流在2020年後的變化情況。鑒於2006年後,ABC公司的產量逐年下降,可以假設公司銷售額的下降率等於產量的下降率,為3%。其次,還需知道該公司的加權平均資本成本(WACC),根據它可以將2020年後的永續現金流折現成現值。然後我們就可以根據DCF公式(公式-1)的變形來估算資產的殘餘價值。

 

可以知道,2021年預計現金流比2020年下降3%,為60萬美元。下一節表明ABC公司的WACC為12.26%。將以上數據代入上麵的公式中就可以得到2020年末資產的殘餘價值。

 

 

步驟二、估算ABC公司的加權平均資本成本(折現率,WACC)

 

加權平均成本的計算公式為:

 

 

其中KD是稅前負債成本估計值,KE是權益成本估計值,Tc為稅率。權重是負債和權益在籌資總額中各自占的比重。

 

負債成本是企業新借入債務的稅後成本(短期和長期)。鑒於利息支出可以抵消稅收支出,所以負債的相關成本必須以負債的稅後成本為標準。假設ABC公司以9%的平均利率借債,假設公司稅率為40%,則該公司的稅後負債成本為5.4%[9%×(1-40%)]。

 

權益成本是新發行的權益資本的成本,我們可以用資本資產定價模型(CAPM)公式求出它。

 

KE = Rf + 市場風險補償*β(公式- 5)

 

其中Rf是無風險投資的回報率(即政府長期債券回報率),β為係數。我們需要知道以下信息:(1)美國政府長期債券回報率(假設在2005年1月為6.66%);

 

(2)市場風險補償(市場風險補償的曆史平均值為7%);(3)ABC公司的β係數估計值。

 

因為ABC公司並未上市,所以我們不能得到它的β係數。但因為XYZ公司是ABC公司的可比公司,且它的β係數估計值為1.20,所以我們將該係數用作ABC公司的β係數。

 

根據公式-5得到:

 

權益成本KE = 6.66%+ 7%*1.20 = 6.66%+8.40%= 15.06%

 

負債和權益所占比重必須以它們的市場價值為基礎。但ABC公司的負債和權益並不公開交易,所以我們無法得到它們的市場價值,我們也隻能用有權益公開上市的XYZ公司的負債和權益價值來代替。XYZ公司在2005年年1月初的權益市場價值為220,000,000美元(該公司發行了10,000,000股股票,每股價格為22美元),從它在2004年年末的資產負債表(未列出)中可以知道它的全部負債為90,000,000美元[8]。則:

 

 

根據以上數據,可以由公式-4計算出ABC公司的WACC:

 

WACC =71%*15.06%+29%×5.40%=12.26%,即為該公司資產創造的現金流要求的回報率k。

 

步驟三、估算ABC公司資產的DCF價值

 

現在可以根據公式-1來估算ABC石油公司的資產價值。由於已知公司截至到2020年預計現金流,以及2020年末的資產殘餘價值,且折現率為12.26%,通過計算可以得出該公司資產的DCF價值為18,755萬美元。

 

步驟四、估算ABC公司權益的DCF價值

 

ABC公司權益的DCF價值可以通過下式得到:

 

公司權益的DCF價值=公司資產DCF價值-公司負債價值(公式-6)

所以ABC公司權益的DCF價值等於資產的估計值(18,755萬美元)減去2004年負債的賬麵價值。負債的賬麵價值可從當年資產負債表中得到,為4,800萬美元:

 

ABC公司權益的DCF價值=18,755萬美元-4,800萬美元=13,955萬美元

DCF價值和可比價值的比較

 

現在我們得到了ABC石油公司四種不同的權益價值估計值,按由低到高排序為:13,955萬美元(DCF價值)、15,523萬美元(根據股價與每股現金收益比得出的)、15,899萬美元(根據市盈率得出)及17,661萬美元(根據股價與每股賬麵收益得出的)。可以看出,最高估計值比最低估計值高26.5%,所以這些估計值仍在可接受的範圍內。

 

那麽ABC石油公司的價值又為多少呢?它的價值可能更接近於DCF價值,因為DCF是根據ABC公司自己的資產現金流而不是根據金融市場數據或其他相似公司的財務數據求出的。以得出結論,如果ABC公司公開上市交易,那麽它的權益價值在13,500萬美元~14,500萬美元之間將是一個比較合理的估計。如果該公司發行了500萬股股票,那麽每股價格應在27美元~29美元之間。

 

   三、估算ABC石油公司的收購價值及價值創造的來源

 

對ABC公司而言,13,955萬美元的權益DCF價值是對公司目前狀況下權益的一個估計值。它並沒有把收購後公司經營管理上任何潛在的改進考慮進去。如果我們購得ABC公司並增加它的績效,則它的價值顯然超過了13,955萬美元。

 

假設有很多種改進能把ABC公司估計的DCF權益價值提高到18,000萬美元,這代表了一項潛在的4,045萬美元的價值創造(18,000萬美元減去13,955萬美元)。以低於18,000萬美元的代價收購該公司就是一項正淨現值的投資,即價格低於估計價值的投資,反之就是負淨現值的投資。那麽這4,045萬美元的價值創造到底來源於何處?

 

識別在一起收購中潛在價值創造來源的最方便的方法就是看一看折現現金流價值是如何確定的。在一個預計將產生一個以固定比率成長的永久現金流企業的簡化例子中,DCF價值等於下一年來源於資產的現金流(CFA )除以加權平均資本成本(WACC )與現金流增長率之間的差額所得的值:

 

這裏CFA由公式-2給出,WACC由公式-4給出。這樣,為了創造價值,或者說,為了提高ABC公司的DCF價值,收購必須達到以下三個目標之一:

 

(1) 提高ABC公司資產產生的現金流(CFA)。

(2) 提高ABC公司銷售額的增長率。

(3) 降低ABC公司的加權平均資本成本(WACC )。

 

如果收購公司不能對ABC公司做如上的一個或多個變動,就不應該進行這次收購。促使上述三項發生變化的條件主要有以下兩方麵:

 

(1)目標公司目前的作業效率(它的成本過高而且資產使用無效率)、銷售額增長或資本結構(債務籌資比例過小或過大)並沒有達到它的理想水平,而且收購公司的管理者們認為他們能更好地經營目標公司。這就是通常所指的無效管理假設(in-efficient management hypothesis)。

 

(2) 把目標公司和被收購公司合並起來能形成規模經濟(economies of scale),這會產生成本和市場協同效應(synergy )。

 

總之,無效管理和協同為一起收購的正確性提供了最強有力的理由。

(消耗了各位看官大量腦細胞,實在抱歉!)

 

注釋

 

[1]為簡化起見,省略了相關的數據表(如資產負債表,損益表,現金流量表)以及具體的計算過程,下同。

 

[2]如果我們沒有找到與ABC公司相似的石油企業,我們隻能把ABC公司的經營狀況和特點與其所處的石油行業進行比較。

 

[3]市盈率(price-to-earnings ratio或PE比率)也稱作XYZ公司的收益乘數(earningsmultiple)。16.06的市盈率表明XYZ公司2005年1月初的股票交易價格是其近期收益的16.06倍。

 

[4]股價與現金收益比(price-to-cash earnings ratio)也稱作XYZ公司的現金收益乘數(cash earnings multiple)。股價與現金收益比表明XYZ公司2005年1月初的股票交易價格是其近期每股現金收益的8.87倍。

 

[5]股價與賬麵價值比(price-to-book ratio)是XYZ公司的賬麵價值乘數(book value multiple)。股價與賬麵價值比表明XYZ公司2005年1月初的每股交易價格是其近期每股賬麵價值的2.03倍。

 

[6]還可以列出更多的市場乘數,包括銷售額乘數(sales multiple,股票價格除以每股銷售額);營業利潤乘數(operation profit multiple,股票價格除以利稅前收益或每股EBIT);營業現金收益乘數(operation cash earnings multiple,股票價格除以EBIT與折舊之和);資產乘數(asset multiple,股票價格除以每股資產);或股票價格與取自資產負債表、損益表的任一財務指標或綜合財務指標之比。

 

[7]任何兩個公司都不會完全相同。我們知道XYZ公司比ABCX公司大得多,這意味著ABC公司的乘數(觀察不到)與XYZ公司的乘數不完全相同。所以根據XYZ公司的乘數隻能計算出ABC公司的近似收益、近似現金收益和近似賬麵價值。

 

[8]應根據市場價值而不是賬麵價值來估計ABC公司的負債價值。但因為我們假設已有負債的平均利率接近於當前市場利率,則市場價值和賬麵價值差別就不會很大。

[ 打印 ]
閱讀 ( )評論
評論
目前還沒有任何評論
登錄後才可評論.